图17.2轻型井点降水布置示意图
两者的主要区别在于:①管井是单独作用的排水设备,轻型井点则是一个排水系统;②管井排水中地下水在重力作用下进入管井,轻型井点排水中地下水由其他设备的抽吸作用流入井管。
28.什么是基本烈度?
答:地震烈度是指某一地区的地面和建筑物遭受一次地震影响的强弱程度。烈度的工程意义是作为抗震设防的标准,常分为基本烈度和设计烈度。
基本烈度是指一个地区在今后100年内,在一般场地条件下可能遇到的最大地震烈度。
29.通用硅酸盐水泥包括哪些水泥?
答:硅酸盐水泥、普通硅酸盐水泥、矿渣硅酸盐水泥、火山灰硅酸盐水泥、粉煤灰硅酸盐水泥和复合硅酸盐水泥。
30.什么是水泥的安定性?
答:水泥的安定性即体积安定性,是指水泥在凝结硬化过程中体积变化是否均匀的性质。
水泥浆体在硬化过程中体积发生不均匀变化时导致的膨胀开裂、翘曲等现象,称为体积安定性不良。安定性不良的水泥会使混凝土构件产生膨胀性裂缝,从而降低建筑物质量,甚至引起严重事故。
31.混凝土的抗冻性是否用循环次数表示?
答:混凝土的抗冻性是指混凝土在水饱和状态下,经受多次冻融循环作用,能保持强度和外观完整性的能力。
混凝土抗冻性一般以抗冻等级表示。抗冻等级是采用慢冻法,以龄期28d的试块在吸水饱和后,承受反复冻融循环,以抗压强度下降不超过25%,而且质量损失不超过5%时所能承受的最大冻融循环次数来表示。
混凝土抗冻等级划分为:F50、F100、F150、F200及F300等,分别表示混凝土能够承受反复冻融循环次数为50、100、150、200和300次等。
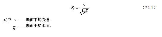
32.什么是弗汝德数?
答:弗汝德数(Froudenumber),流体力学中表征流体惯性力和重力相对大小的一个无量纲参数,记为Fr.在水力学中,用下式表示:
