网站首页 > 试题中心 > 模拟试题 > 环境影响评价师 > 环境影响评价技术方法 > 环境影响评价技术方法模拟试题:环境影响评价工作程序的第一步工作(二)

环境影响评价技术方法模拟试题:环境影响评价工作程序的第一步工作(二)

2013-7-10  来自于:课评集

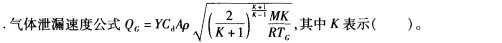
  6、

  A.裂口面积

  B.气体泄漏系数

  C.气体的绝热指数

  D.气体常数

  【正确答案】C

  7、若某水质因子的监测数据量少,水质浓度变幅大,则实测统计代表值获取的方法应选择( )。

  A.均值法

  B.极值法

  C.模式法

  D.内梅罗法

  【正确答案】B

  8、当对建设项目所在地的自然环境进行调查时,当地形地貌与建设项目密切相关时,除应比较详细地叙述上述全部或部分内容外,还应附建设项目周围地区的( )。

  A.平面图

  B.地理区位图

  C.地形图

  D.土地利用情况图

  【正确答案】C

  9、某监测点总监测数据为50个,其中超标监测数据10个,不符合监测技术规范要求的监测数据5个,未检出的点位数为10个,则超标率是( )。

  A.28.6%

  B.22.2%

  C.25.0%

  D.20.0%

  【正确答案】B

  10、逆温是指温度随高度( )的现象。

  A.无规律变化

  B.减小

  C.不变

  D.增加

  【正确答案】D

[上一页]  [1]  2  [3]  [4]  [5]  [6]  [7]  [8]  [9]  [10]  [下一页]

环境影响评价师考试辅导资料