水利水电工程辅导:混凝土的抗冻性
混凝土的抗冻性是指混凝土在水饱和状态下,经受多次冻融循环作用,能保持强度和外观完整性的能力。
混凝土抗冻性一般以抗冻等级表示。抗冻等级是采用慢冻法,以龄期28d的试块在吸水饱和后,承受反复冻融循环,以抗压强度下降不超过25%,而且质量损失不超过5%时所能承受的最大冻融循环次数来表示。
混凝土抗冻等级划分为:F50、F100、F150、F200及F300等,分别表示混凝土能够承受反复冻融循环次数为50、100、150、200和300次等。
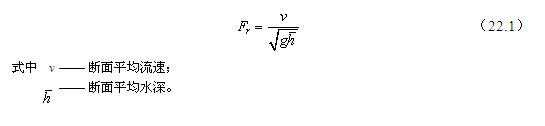
什么是弗汝德数?
答:弗汝德数(Froudenumber),流体力学中表征流体惯性力和重力相对大小的一个无量纲参数,记为Fr.在水力学中,用下式表示:
