36.地表水环境影响预测方法的理论基础是(D)
A.污染物的自身特性
B.水体的自净恃性
C.水体的水质指标
D.水体的污染特性
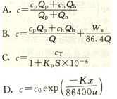
37.河流稀释混合模式中点源稀释混合模式是(A)。

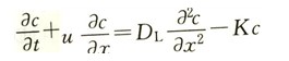
38.常规污染物瞬时点源河流一维水质预测模式的基本水质方程为:

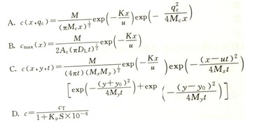
那么,在距离瞬时点源下游。处的污染物浓度峰值表达式为(B)。

39.L1=80dB , L2=80dB.求L1 2=?( A)
A.83
B.75
C.86
D.90
解析:L1 2=10lg(1080/10 1080/10)=3 80=83
40. L1=100dB , L2=98dB.求L1 2=?(A)
A.102.1
B.103
C.105.3
D.106
解析:L1 2=10lg(10100/10 1098/10)=102.1