技术方法学习资料:河流水质模型选择
1. 水质模型的空间维数
L=(0.4B-0.6a)Bu/(0.058H 0.0065B)(ghi)0.5
理解每个字母的含义
例题解析:一均匀稳态河段,河宽B=100m,平均水深H=2m,流速u=0.5m/s,平均底坡i=0.0005.一拟建项目以岸边和河中心两种方案排放污水的完全混合距离分别是?
解析:利用上述公式L=(0.4B-0.6a)Bu/(0.058H 0.0065B)(ghi)0.5
求岸边距离和中心距离中a值分别取0和50m..最后答案分别是26374.7m和6593.7m
2.流水质模型选择(熟悉) 见表5-5.
表5-5 河流水质模型选择

二.河流水质模型参数的确定方法(掌握)
河流水质模型参数的确定方法有:公式计算和经验估值、室内模拟实验测定、现场实测、水质数学模型测定。
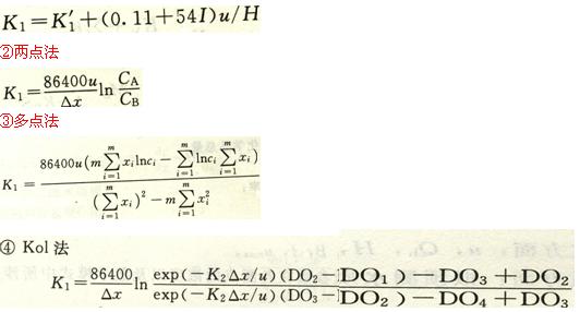
(1)耗氧系数K1的单独估值方法
①实验室测定法
