技术方法学习资料:湖泊、水库水环境影响预测方法
(1)湖泊、水库水质箱模式

式中V——一湖泊中水的体积、m3,
Q———平衡时流人与流出湖泊的流量,m3/a;
CE———流人湖泊的水量中水质组分浓度,g/m3;
c——一湖泊中水质组分浓度,g/m3;
Sc——如非点源一类的外部源或汇m3;
r(c)——水质组分在湖泊中的反应速率。
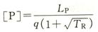
(2)湖泊、水库富营养化预测模型(磷负荷模型)
①Vollenweider负荷模型

式中〔P]——磷的年平均浓度,mg/m3;
Lp—一年总磷负荷/水面面积,mg/m2;
q——一年人流水量/水面面积,。3/m2;
TR—一容积/年出流水量,。3/rn3.