中级经济基础辅导:消费、储蓄和投资投资函数
投资时形成固定资产的活动,一般不包括金融投资在内。
决定投资的因素有很多,主要因素有实际利率、预期收益率和投资风险等。预期的通过或膨胀率和折旧也在一定程度上影响投资。
凯恩斯认为,实际利率越低,投资量越大。因此,投资是利率的减函数。
投资函数:I=I(r)=e-dr
e表示自主投资,-dr表示引致投资。
(四)投资乘数
投资乘数=国民收入增量/投资增量
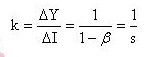
投资乘数的公式:
s为边际储蓄倾向。上式表明投资乘数k为边际储蓄倾向s的倒数。
例题:
1.某国的边际消费倾向为0.6,则其投资乘数k为( )。
A.1.67 B.2.5 C.4 D.5
『正确答案』B
2.(2009年)假定边际消费倾向β是0.75,则投资乘数k应为( )。
A.1 B.2 C.3 D.4
『正确答案』D.投资乘数k=1/(1-β)=1/(1-0.75)=4.