13.

14.
15.发展速度:报告期发展水平与基期发展水平之比,用于描述现象在观察期内的发展变化程度。 分为定基发展速度和环比发展速度
16.增长速度:也称增长率,是增长量与基期水平之比,用于描述现象的相对增长程度。按照采用基期的不同,增长速度可分为定基增长速度与环比增长速度,两者之间没有直接的换算关系,在由环比增长速度推算定基增长速度时,可先将各环比增长速度加1后连乘,再将结果减1,即得定基增长速度
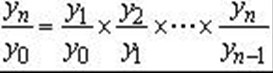
17.第一,定基发展速度等于相应时期内各环比发展速度的连乘积:
18.

19.第二,两个相邻时期定基发展速度的比率等于相应时期的环比发展速度:
20.

21.
