中级经济基础辅导资料:时间序列
1.


2.时间序列也称动态数列,由两个基本因素构成:一个是被研究现象所属时间,另一个是反映该现象一定时间条件下数量特征的指标值。
3.时间序列按照其构成要素中统计指标值的表现形式,分为:绝对数时间序列、相对数时间序列和平均数时间序列
4.依据指标值的时间特点,绝对数时间序列又可分为:时期序列和时点序列。
5.时间序列的水平分析:(1)发展水平(2)平均发展水平(3)增长量与平均增长量。
6.发展水平是时间序列中对应于具体时间的指标数值。根据各期指标值在计算动态分析指标时的作用来划分,又可以分为基期水平和报告期水平。
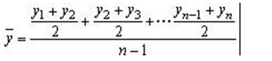
7.平均发展水平也称为序时平均数或动态平均数,是对时间序列中各时期发展水平计算的平均数,他可以概括性的描述现象在一段时期内所达到的一般水平。
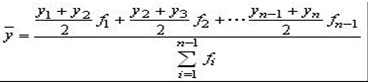
8.绝对数时点序列间断时点平均数分两种情形:
(1)间隔相等:

(2)间隔不等

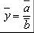
9.相对数、平均数的时间序列,公式表示:
10.增长量:时间序列中的报告期水平与基期水平之差,用于描述现象在观察期内增长的绝对数量。按照采用基期的不同,增长量有逐期增长量、累积增长量之分
11.逐期增长量是报告期水平与前一时期水平之差,表示本期比前一时期增长的绝对数量;累计增长量是报告期水平与某一固定时期水平之差,说明报告期与某一固定时期相比增长的绝对数量。整个观察期内各逐期增长量之和等于最末期的累积增长量
12.
