中级经济基础辅导资料:指数体系
(一)总量指数与指数体系
总量指数:由两个不同时期的总量对比形成的相对数。

综合总量指数的一般形式可以写为:
为分析总量指数变动中各因素的影响方向和程度,可以对总量指数进行分解,得到各个因素指数。我们把由总量指数及其若干个因素指数构成的数量关系式称为指数体系。
(二)指数体系的分析与应用
利用指数体系既可以对现象发展的相对变化程度及各因素的影响程度进行分析,也可以对现象发展变化的绝对数量及各因素的影响数额进行分析。
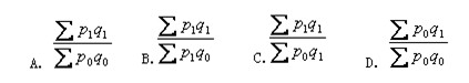
在实际分析中,比较常用的是基期权数加权的数量指数和报告期权数加权的质量指数形成的指数体系。该指数体系可表示为:

即:总量变动=质量变动的影响额 数量变动的影响额
三者之间的数量关系为:销售额指数=价格指数×销售量指数
从绝对变动水平来看:
三者之间的数量关系为:销售额变动=价格变动的影响额 销售量变动的影响额
例题:
1.指数体系的作用是( )。
A.为选择指数计算方法提供依据 B.为选择指数基期提供依据 C.为编制时间序列提供参考
D.对现象发展的相对变化程度及各因素的影响程度进行分析
E.对现象发展变化的绝对数量及各因素的影响数额进行分析
『正确答案』DE
2.(2006年) 在利用指数体系分析价格(用p表示)和销售量(用q表示)变动对销售额的影响时,销售量指数的计算公式是( )。

『正确答案』D