(2)共同配送的组织形式
1)同产业间的横向共同配送
2)异产业间的横向共同配送
3)纵向共同配送
3.科学制定配送计划
配送七要素:商品、客户、车辆、人员、路线、地点和时间。
4.优化配送路线
(1)确定配送线路规划的目标。
(2)配送路线选择的制约条件:满足所有收货人对商品品种、规格和数量的要求;满足收货人对商品送达时间范围的要求;在允许通行的时间段内进行配送;各配送路线的商品量不得超过车辆容积和载重量的限制;在配送中心现有运力允许的范围内配送。
5.提高配送车辆车载率
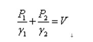
采用轻重商品配装法,充分利用车辆的容积和载重量,是降低配送成本的重要手段之一。
同一车内轻重商品的配装量可通过以下公式计算:
P1 P2=P

式中 P——车辆标记载重量(吨);
P1——重体商品装载量(吨);
P2——轻体商品装载量(吨);
V ——车辆全部有效容积(立方米);
γ1——重体商品比重(吨/立方米);
γ2——轻体商品比重(吨/立方米)。