网站首页 > 复习资料 > 辅导资料 > 经济师 > 初级工商管理专业知识与实务 > 经济师初级工商管理辅导资料:资金的时间价值观念及相关例题

经济师初级工商管理辅导资料:资金的时间价值观念及相关例题

2013-1-31  来自于:课评集

  初级工商管理辅导资料:资金的时间价值观念

  后付年金终值是一定时期内每期期末等额的系列收付款项韵复利终值之和。

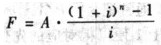
  设每年的支付金额为A,利率为i,计息期数为n,则后付年金终值的计算公式为:

  

  整理上式,可得到:

  

  式中的分式称作年金终值系数,(F/A,i,n),可通过直接查阅年金终值系数表获得。上式也可写作:F=A·(F/A,i,n)。

  【例3】ABC公司在5年建设期内每年年末从银行借款100万元,借款利率10%,则该项目竣工时应付本息总额为:

  F=100×(F/A,10%,5)

  =100×{[(1 10%)5-1]/10%}

  =100×6.1051

  =610.51(万元)

  后付年金的现值是指一定时期内每期期末等额的系列收支款项的复利现值之和,计算公式为:

  P=A(1 i)-1 A(1 i)-2 A(1 i)-3 ……….. A(1 i)-(n-1) A(1 i)-n

  整理得:P=A[(1- (1 i)-n )/i]

  式中的分式称作年金现值系数,(P/A,i,n),可通过直接查阅年金现值系数表获得。上式也可写作:P=A·(F/A,i,n)。

  【例4】租入某设备,每年年末需要支付租金120元,年复利率为10%,则5年内应支付的租金总额的现值为:

  P=120×(P/A,10%,5)

  =120×{[1-(1 10%)-5]/10%}

  =120×3.790 8

  =454.90(元)

  (2)先付年金的终值与现值。

  先付年金是指从第一期起,在一定时期内每期期初等额收付的系列款项,又称即付年金。

  例题:从第一期起,在一定时期内每期期初等额收付的系列款项是( )。

  A.递延年金 B.永续年金 C.先付年金 D.普通年金

  1  [2]  [下一页]