
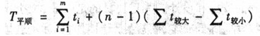
式中 T平顺——平行顺序移动方式下零件加工的生产周期;
T较大——比相邻工序单件工时均大的工序的单件工时;
T较小——比相邻工序单件工时均小的工序的单件工时。
公式中m、n、t同前。
平行顺序移动方式下零件全部生产完成的生产周期也可按如下计算公式:

式中ti较短为每相邻两道工序中较短的单件工序时间。
四、三种移动方式的比较
顺序移动方式的优点是组织生产较简单,设备在加工零件时不出现停顿,工序间搬运次数少。其缺点是生产周期长。
平行移动方式的突出优点是充分利用平行作业的可能,使生产周期达到最短。问题是一些工序在加工时,出现时干时停的现象,对设备运转不利,同时运输次数多,组织生产比较麻烦。
平行顺序移动方式吸取两者的优点,生产周期较短,每道工序在加工一批零件时不发生停顿现象,使设备能连续、正常运转。这种方法运输次数也较多,组织生产也比较复杂。
在实际生产与业务工作中,要结合实际,因地制宜地选择。具体应用时要根据具体条件考虑下列因素:
(1)企业的生产类型。单件小批企业多采用顺序移动方式;大量大批生产,特别是组织流水线生产时,宜采用平行移动方式或平行顺序移动方式。
(2)生产任务的缓急。生产任务急,应采用平行移动方式或平行顺序移动方式,以争取时间满足交货期需要。
(3)劳动量的大小和零件的重轻。工序劳动量不大,重量较轻的零件,宜采用顺序移动方式;工序劳动量大,重量很重的零件,宜采用平行移动方式或平顺移动方式。
(4)企业内部生产单位专业化形式。对象专业化的生产单位宜采用平行或平行顺序移动方式;而工艺专业化的生产单位,宜采用顺序移动方式。
(5)改变加工对象时,调整设备所需的劳动量。如果调整设备所需的劳动量很大,不宜采用平行移动方式;如果改变加工对象时,不需调整设备或调整设备所需时间很少时,宜采用平行移动方式。