(二)附息债券的到期收益率
附息债券的到期收益率的计算(掌握)
1.按年复利
如果按年复利计算,附息债券到期收益率的公式为:

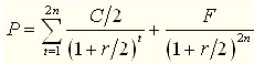
式中,P为债券价格,C为债券的年付息额,F为面值,r为到期收益率,n为期限.
2.半年复利

(三)永久债券的到期收益率
永久债券的到期收益率计算(掌握)
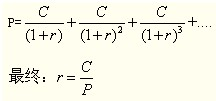
如果按复利计算,永久债券的到期收益率的公式为:

总结:从以上介绍可见,债券的市场价格越高,到期收益率越低;反过来债券的到期收益率越高,则其市场价格就越低。由此我们可以得出一个结论:债券的市场价格与到期收益率反向变化。
当市场利率上升时,到期收益率低于市场利率的债券将会被抛售,从而引起债券价格的下降,直到其到期收益率等于市场利率。由此可见,债券的价格随市场利率的上升而下降。