中级金融专业辅导:到期收益率
到期收益率:指到期时信用工具的票面收益及其资本损益与买入价格的比率。其计算公式为:

其中,r为到期收益率,C为票面收益(年利息),Mn为债券的偿还价格,P0为债券的买入价格,T为买入债券到期的时间。
到期收益率是衡量利率的确切指标。
【例3·多选题】(2011真题)
决定债券到期收益率的因素有( )。
A.票面收益
B.买入债券到债券到期的时间
C.偿还价格
D.购买价格
E.汇率
【正确答案】ABCD
【答案解析】本题考查债券到期收益率计算公式涉及的因素。到期收益率的计算公式涉及票面收益(年利息)、债券的偿还价格、债券的买入价格、买入债券到债券到期的时间(以年计算)。
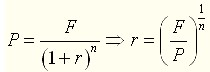
(一)零息债券的到期收益率
1.零息债券:折价出售,到期按面值兑现。
2.零息债券的到期收益率的计算(掌握)
(1)零息债券每年复利一次的计算

式中,P为债券价格,F为债券票面价值,r为到期收益率,n为期限。